J Dent Res Dent Clin Dent Prospects. 18(1):1-16.
doi: 10.34172/joddd.40501
Review Article
Effect of treatment variables on apical extrusion of debris during root canal retreatment: A systematic review and meta-analysis of laboratory studies
Emel Uzunoğlu Özyürek Conceptualization, Data curation, Formal analysis, Funding acquisition, Investigation, Methodology, Project administration, Supervision, Writing – review & editing, * 
Selen Küçükkaya Eren Conceptualization, Data curation, Formal analysis, Funding acquisition, Investigation, Methodology, Project administration, Writing – review & editing, 
Sevilay Karahan Data curation, Formal analysis, Funding acquisition, Investigation, Methodology, Project administration, Software, Validation, Writing – review & editing, 
Author information:
Department of Endodontics, Faculty of Dentistry, Hacettepe University, Ankara, Turkey
Abstract
Background.
This study aimed to systematically and comprehensively review the effect of various treatment variables on apically extruded debris (AED) during non-surgical root canal retreatment (NSRCRT).
Methods.
The study protocol is shared in the Open Science Framework database (https://osf.io/kjtdg/?view_only=17060180705745ec9dae9a01614f3880). An electronic search was conducted up to July 2022 to reveal related studies. Two reviewers critically assessed the studies for eligibility against inclusion and exclusion criteria and data extraction. Quantitative data synthesis was performed, and the risk of bias in the studies was also evaluated.
Results.
Forty-six studies were included in the systematic review and 14 in the meta-analysis. Conflicting or limited evidence was found for the effect of sealer type, obturation technique, and solvent use. The manual instrumentation increased the amount of AED compared to rotary instrumentation during the removal of filling materials (P<0.001). There was no significant difference in the amount of AED between the use of rotary and reciprocating files during the removal of filling materials (P=0.181).
Conclusion.
Rotary instruments can be recommended instead of manual instruments during the removal of filling materials to control the amount of AED. Further studies with a low risk of bias are needed to clarify the effect of other treatment variables on AED during NSRCRT.
Keywords: Endodontics, Root canal, Retreatment
Copyright and License Information
©2024 The Author(s).
This is an open-access article distributed under the terms of the Creative Commons Attribution License (
http://creativecommons.org/licenses/by/4.0), which permits unrestricted use, distribution, and reproduction in any medium provided the original work is properly cited.
Introduction
The success of primary root canal treatment is reported to be high; however, in case of failure, non-surgical root canal retreatment (NSRCRT) is the first treatment option for the survival of the tooth.1 The complete removal of root canal filling materials and thorough cleaning of the root canal system are important factors for the success of NSRCRT. It has been reported that the remaining filling materials in the root canal could be the reason for persistent infections.2,3 Some instrumentation systems, irrigants, and irrigation techniques have been used to enhance the cleaning of the root canal system during NSRCRT.4-6 Stainless steel hand files, rotating and reciprocating nickel-titanium (NiTi) instruments, and ultrasonic tips have been used to efficiently clean and shape the root canals during NSRCRT procedures.4,7-9 Solvents such as chloroform, xylol, halothane, and orange oil can be used to remove previous filling materials from the root canal system.7,10-12 Several irrigants13 and various irrigant activation techniques14 have been further used to improve the cleanliness of root canal walls during NSRCRT. While the main goal is to obtain a clean root canal system as much as possible, apical extrusion of debris containing dentin chips, microorganisms, necrotic tissue remnants, and previous filling materials is also a major concern during NSRCRT.15-17 It has been reported that apically extruded debris (AED) may cause postoperative pain15,18-20 and swelling and may impair periapical healing.2,3,15,21,22
The effects of treatment variables on AED at preparation, irrigation, or obturation of root canals during NSRCRT have been widely studied in the literature.7,23-26 It has been reported that all instrumentation systems have the potential for apical debris extrusion during NSRCRT.23,27,28 The root canal preparation with hand files has been reported to extrude more debris apically compared to rotary and/or reciprocating systems.28-30 On the other hand, other studies reported no difference in the amount of AED between manual instrumentation and engine-driven instrumentation (rotary, reciprocating, or ultrasonic instrumentation).4,31 There is also no consensus in studies comparing the effect of rotary and reciprocating instruments on AED.8,23,25,32-35 Some studies have reported no difference between these instruments,4,35,36 while others have reported that rotary instruments extruded apically more debris compared to reciprocating instruments37,38 or vice versa.32 In addition to the instrumentation methods, other treatment variables, such as materials or techniques used to remove filling materials and obturation of the root canal system, may also influence the amount of AED.11,12,39-41 Clarifying the parameters that may affect the apical extrusion of debris during NSRCRT may contribute to clinical practice. Therefore, this study aimed to systematically and comprehensively review the effect of treatment variables during NSRCRT on the apical extrusion of debris.
Methods
Search strategy
PROSPERO registration could not be performed because of including in vitro studies; therefore, the study protocol is available online in the Open Science Framework database (https://osf.io/kjtdg/?view_only=17060180705745ec9dae9a01614f3880). Preferred Reporting Items for Systematic Reviews and Meta-Analyses (PRISMA) guidelines were followed for a literature search.42 The study protocol is shared. A comprehensive search was conducted with Cochrane Library, Google Scholar, Lilacs, PubMed, Scopus, Web of Science, and Open Grey databases to reveal related English-language studies up to July 2022. The interest of this review was to reveal the influence of any step used during the entire NSRCRT procedure on the amount of AED. The population, intervention, comparison, and outcome (PICO) strategy was used for the structured review question:
-
Population: Extracted mature permanent human teeth obturated with gutta-percha and undergoing NSRCRT procedure
-
Intervention: Any variable in the obturation phase or retreatment phase during the treatment of samples
-
Comparison: Any variable in the obturation phase or retreatment phase during the treatment of samples
-
Outcome: The effect of the tested treatment variable on the amount of AED
The search terms were extrusion, extruded, debris, gutta-percha, gutta-percha, sealer, sealant, filling material, retreatment, endodontic, and root canal. These keywords were combined as (((extrusion or extruded) AND (debris or gutta-percha or gutta percha or sealer or sealant or filling material)) AND (retreatment)) AND (endodontic or root canal). Articles published in the Australian Endodontic Journal, Journal of Endodontics, and International Endodontic Journal were checked during keyword selection. Modifications were performed in each database according to their search tools. Supplementary Table 1 reveals examples of the search strategy of databases. Reference lists of all the included articles were manually searched through an electronic search for additional articles that were not identified.
Screening and selecting studies
Initially, an electronic search was conducted by two reviewers independently to find relevant articles by title. Then, the abstracts of all potential articles were attentively checked to detect eligible studies. When the data obtained through title and abstract screening were insufficient, the full text of the article was read during selection.
Studies were selected for inclusion if they fulfilled the following criteria:
-
Laboratory studies on fully formed human teeth, using gutta-percha as the main root canal obturating material
-
Studies testing the effect of at least one parameter either in the obturation step (the type of root canal sealer used, the type of obturation technique applied, etc) or in the NSRCRT (the type of instrument used, the type of instrumentation technique applied, the use of solvent, etc)
-
Studies comparing the weight of dry AED following the NSRCRT of teeth
-
Studies in the English language
Inclusion was based on consensus between the two reviewers. Studies using different core materials than gutta-percha during obturation, studies in a different language than English, studies using immature teeth or resin blocks, studies reporting AED as volume/area or as the score after visual observation, studies comparing the effect of different brands of root canal instruments operating in the same type of motion kinetic that were not manufactured specifically for retreatment or studies using different debris collectors than empty pre-weighted tubes/vials such as paper filters, aluminum crowns, and aluminum foils, studies evaluating only the cytotoxicity of AED, and studies measuring the weight of AED without performing the drying step were excluded from the present review.
Data extraction
The full texts of all the included studies were obtained, and a standardized form was used by two reviewers during data extraction. The extracted variables were ethics approval, tooth type, root curvature, the determination of working length (WL), the final file used before obturation, obturation technique, filling materials, incubation period following obturation, debris collection method, periodontal ligament simulation, instruments used for retreatment, the last file used at the WL in the NSRCRT, solvent use during retreatment, irrigants used during retreatment, patency control after retreatment, including the debris around the outer surface of the root in the measurement, storage condition of debris collectors following NSRCRT, the statistical analysis method used, conflict of interests, and main outcomes.
Risk of bias evaluation
Quality assessment of the included studies was performed by the risk of bias analysis. Previous studies were considered during the risk of bias evaluation.43,44 The following parameters were assessed: sample size calculation, randomization of teeth, standardization of samples based on root canal shape, standardization of samples based on apical diameter, confirmation of the quality of root canal obturation before proceeding to NSRCRT procedures, preparation of samples by a single operator and/or experienced operator, the use of retreatment instruments according to the manufacturers’ instructions, blinding of the operator during NSRCRT, standardization of irrigant volume used during NSRCRT for each group, and confirmation of filling materials’ removal following NSRCRT. If the parameter was reported in the article, it received a Y (yes); if it could not be found in the article, it received an N (no). According to the Y numbers, the bias risk of the article was classified as high (1–4 Yes), medium (5–7 Yes) and low (8‒10 Yes). Articles were checked independently again by two reviewers, and, in case of controversy, the articles were re-assessed together by the reviewers. Missing data were requested from the corresponding authors via e-mails at least twice.
An evidence synthesis was carried out as follows.43,44
-
Strong evidence: When two or more studies with a low risk of bias and ≥ 75% of the studies reported consistent findings
-
Moderate evidence: When one study with a low risk of bias and/or two or more studies with a medium or high risk of bias reported consistent findings.
-
Limited evidence: When only one study with a medium or high risk of bias provided results.
-
Conflicting evidence: When studies provided inconsistent results (consistent findings were reported by < 75% of the studies).
-
No evidence: When no study could be found.
Meta-analysis
Quantitative data synthesis of the included studies was performed to combine comparable results using a software program for meta-analysis (MedCalc Statistical Software trial version 19.0.5, MedCalc Software, Ostend, Belgium). The weight of AED was selected as the outcome. The number of specimens in each group and the mean and standard deviation related to respective comparisons were extracted from the studies. Standardized mean difference (SMD) was calculated for each study included in the meta-analysis. Statistical heterogeneity between studies was analyzed using the I2 value, showing low, medium, and high heterogeneity at 25%, 50%, and 75%, respectively.45 Fixed-effects models were used when I2 scores were toward 0%; when I2 scores were toward 100%, random-effects models were used. Forest plots were used to show the results of all analyses.
Results
The database searches provided 541 results. Of these, 250 were in Google Scholar, 82 in Pubmed, 86 in Scopus, 98 in Web of Science, 8 in Lilacs, and 17 in Cochrane Library. The manual search of the reference lists of the included studies and the search for grey literature provided no additional studies. Following duplicate removal, 254 items remained. After data screening, ninety-four articles were selected for full-text reading based on titles and abstracts. Forty-eight articles were excluded because they did not meet the inclusion criteria.46-93 One of the main reasons for exclusion was that extrusion was evaluated with different methods instead of weighing debris, such as visual evaluation51-53,74,81,87,89,90,93 or measuring the volume of debris.49,54,55 Eleven articles were excluded because data regarding incubation conditions after NSRCRT procedures were missing.47,65,67-71,73,79,80,83 Supplementary Table 2 shows the excluded articles and the reasons for exclusion. After the full-text reading, 46 articles were found suitable for the present systematic review (Figure 1).4,7-12,23-32,34-41,94-114 The key characteristics of the included studies are shown in Supplementary Table 3. Single-rooted teeth were used in more than 80% of the studies.7,9-12,23-32,36-38,40,41,94-105,108,110-114 Only seven studies preferred to use molar teeth4,8,34,35,39,106,107 and one study did not provide information regarding the tooth type used.109 In more than 60% of the studies, researchers preferred to use straight roots/root canals (curvature < 10°)4,7,9-12,24,25,27-30,32,36-38,40,41,94-98,101-105,112,114 and in more than 90% of the studies, WL was determined 1 mm short of the major apical foramen.4,7-12,23-32,34,35,37-41,95-98,100-110,112-114 Cold lateral condensation was used as the obturation technique in more than half of the included studies.7,9,11,12,23-25,27-30,34,38,41,96-98,99-103,107,112-114 Resin-based sealers were the most selected sealer type in the included studies.4,7,8,10-12,23-32,34-41,94-96,100,102-105,108,110,112,114
Figure 1.
PRISMA flow diagram
Figure 1.
PRISMA flow diagram
Periodontal ligament simulation was performed in two studies with thin silicone materials.32,39 In most of the studies, NSRCRT was performed without solvents.4,8,23-25,29-32,34-41,94,95,98-102,105,106,109,111,114 Eucalyptol was the most commonly used solvent among the studies.7,26-28,107,112 The most preferred solution during NSRCRT was distilled water4,7,8,10-12,23,25-30,32,34,36,38,40,41,94-97,99-101,103,105-107,109-113 followed by sodium hypochlorite with different concentrations between 1% and 5.25%.9,31,35,37,39,98,102,114
Different incubation conditions were reported for debris drying ranging from 5 h to 4 weeks and 37 °C to 140 °C (Supplementary Table 3). In more than half of the studies, the diameter of the last instrument used at the WL was larger than the diameter of the master apical file used before obturation.4,7,8,11,12,23,25,26,28-30,32,35,37-39,41,94,96,99,101,106,11,112 Seven studies compared the effect of variables applied during the obturation phase,11,12,39-41,111,112 while 41 studies compared the effect of variables applied during the retreatment phase.4,7-11,23-32,34-38,40,94-110,113,114 Detailed results regarding the compared parameters in the included studies were given in the following paragraphs. The methodological risk of bias in the included studies is presented in Table 1.
Table 1.
Risk of bias evaluation
|
Reference
|
Author-Year
|
Sample size calculation
|
Apical diameter check during sample selection
|
Standardization of samples based on root canal shape
|
Quality of root canal obturation
|
Randomization
|
Manufacturer’s instructions during RT
|
Single and/or experienced operator during RT
|
Blinding of the operator during RT
|
Standard total volume of irrigants in groups during RT
|
Confirmation of Gutta-percha removal during RT, WL: working length; FC: file cleanliness; RCW: root canal wall cleanliness, RG: radiograph (at least with 1 parameter)
|
Total
|
Result
|
|
103
|
Huang et al, 2007 |
0 |
1 |
0 |
1 |
1 |
1 |
1 |
1 |
1 |
1 |
8 |
L |
|
97
|
Arora et al, 2012 |
0 |
0 |
0 |
1 |
1 |
0 |
1 |
1 |
1 |
1 |
6 |
M |
|
27
|
Kuştarcı et al, 2012 |
0 |
0 |
0 |
1 |
1 |
1 |
1 |
1 |
1 |
1 |
7 |
M |
|
107
|
de Morais Vitoriano et al, 2013 |
0 |
0 |
0 |
1 |
1 |
1 |
0 |
0 |
0 |
1 |
4 |
H |
|
98
|
Arslan et al, 2014 |
0 |
1 |
0 |
1 |
1 |
0 |
0 |
1 |
1 |
1 |
6 |
M |
|
37
|
Silva et al, 2014 |
0 |
1 |
0 |
1 |
1 |
1 |
1 |
1 |
1 |
1 |
8 |
L |
|
28
|
Topçuoğlu et al, 2014 |
0 |
1 |
0 |
1 |
1 |
1 |
1 |
1 |
1 |
1 |
8 |
L |
|
12
|
Çanakçı et al,2015 |
0 |
0 |
0 |
1 |
1 |
1 |
1 |
0 |
1 |
1 |
6 |
M |
|
38
|
Dinçer et al, 2015 |
0 |
1 |
0 |
0 |
1 |
0 |
0 |
0 |
1 |
1 |
4 |
H |
|
11
|
Türker et al, 2015 |
0 |
1 |
1 |
1 |
1 |
1 |
1 |
1 |
1 |
1 |
9 |
L |
|
29
|
Altunbaş et al, 2016 |
0 |
1 |
0 |
1 |
1 |
1 |
0 |
1 |
0 |
1 |
6 |
M |
|
100
|
Cakici et al, 2016 |
0 |
1 |
1 |
1 |
1 |
0 |
1 |
1 |
1 |
1 |
8 |
L |
|
23
|
Çanakçı et al, 2016 |
0 |
0 |
0 |
0 |
1 |
1 |
1 |
0 |
1 |
1 |
5 |
M |
|
24
|
Çiçek et al, 2016 |
0 |
0 |
0 |
0 |
1 |
0 |
0 |
1 |
0 |
1 |
3 |
H |
|
101
|
Gkampesi et al, 2016 |
0 |
1 |
0 |
1 |
1 |
1 |
1 |
1 |
1 |
1 |
8 |
L |
|
9
|
Kasam et al, 2016 |
1 |
0 |
0 |
0 |
1 |
0 |
0 |
0 |
0 |
1 |
3 |
H |
|
110
|
Pawar et al, 2016 |
0 |
0 |
0 |
0 |
1 |
0 |
0 |
0 |
0 |
1 |
2 |
H |
|
25
|
Uzunoglu & Türker 2016 |
0 |
1 |
1 |
1 |
1 |
1 |
1 |
1 |
0 |
1 |
8 |
L |
|
7
|
Alfenas et al, 2017 |
0 |
0 |
0 |
1 |
1 |
1 |
1 |
1 |
1 |
1 |
7 |
M |
|
8
|
Kaşıkçı Bilgi et al, 2017 |
1 |
1 |
0 |
1 |
1 |
1 |
1 |
1 |
1 |
1 |
9 |
L |
|
106
|
Liu et al, 2017 |
0 |
1 |
0 |
1 |
1 |
1 |
1 |
1 |
1 |
1 |
8 |
L |
|
35
|
Nevares et al, 2017 |
1 |
0 |
0 |
1 |
1 |
0 |
0 |
1 |
1 |
1 |
6 |
M |
|
113
|
Vikram 2017 |
0 |
0 |
0 |
0 |
0 |
0 |
0 |
1 |
0 |
0 |
1 |
H |
|
32
|
Yılmaz & Özyürek 2017 |
0 |
0 |
0 |
0 |
1 |
1 |
1 |
1 |
1 |
0 |
5 |
M |
|
36
|
Azim et al, 2018 |
0 |
0 |
1 |
1 |
1 |
0 |
1 |
0 |
1 |
1 |
6 |
M |
|
34
|
Delai et al, 2018 |
0 |
1 |
1 |
1 |
1 |
0 |
1 |
1 |
0 |
0 |
6 |
M |
|
104
|
Jena et al, 2018 |
1 |
0 |
0 |
1 |
1 |
1 |
0 |
1 |
0 |
1 |
6 |
M |
|
114
|
Pesic et al, 2018 |
0 |
0 |
0 |
1 |
1 |
1 |
0 |
1 |
0 |
1 |
5 |
M |
|
10
|
Shivanna et al, 2018 |
0 |
0 |
1 |
0 |
1 |
0 |
0 |
1 |
0 |
1 |
4 |
H |
|
112
|
Topçuoğlu et al, 2018 |
1 |
0 |
1 |
1 |
1 |
0 |
1 |
1 |
1 |
1 |
8 |
L |
|
99
|
Balseca et al, 2019 |
1 |
0 |
0 |
1 |
1 |
0 |
0 |
1 |
1 |
0 |
5 |
M |
|
41
|
Çanakçı et al, 2019 |
0 |
0 |
0 |
1 |
1 |
1 |
1 |
0 |
1 |
1 |
6 |
M |
|
96
|
Sarıçam et al, 2019 |
1 |
0 |
0 |
0 |
0 |
1 |
1 |
0 |
1 |
0 |
4 |
H |
|
108
|
Aldajani&Mathew 2020 |
0 |
1 |
1 |
0 |
1 |
0 |
1 |
1 |
0 |
1 |
6 |
M |
|
40
|
Kamil &Al-Sabawi 2020 |
0 |
1 |
0 |
0 |
1 |
1 |
0 |
1 |
1 |
1 |
6 |
M |
|
26
|
Li et al, 2020 |
0 |
0 |
0 |
1 |
1 |
0 |
0 |
0 |
0 |
1 |
3 |
H |
|
109
|
Mircheska et al, 2020 |
0 |
0 |
0 |
0 |
0 |
1 |
0 |
0 |
0 |
0 |
1 |
H |
|
39
|
Romeiro et al, 2020 |
1 |
0 |
0 |
1 |
1 |
0 |
1 |
1 |
1 |
1 |
7 |
M |
|
30
|
Topçuoğlu et al,2020 |
1 |
0 |
1 |
1 |
1 |
0 |
1 |
1 |
1 |
1 |
8 |
L |
|
94
|
Aktemur Türker&Kaşıkçı 2021 |
0 |
1 |
0 |
1 |
1 |
1 |
0 |
1 |
1 |
1 |
7 |
M |
|
95
|
AlOmari et al, 2021 |
1 |
1 |
0 |
1 |
1 |
0 |
1 |
0 |
1 |
1 |
7 |
M |
|
31
|
Dadalti et al, 2021 |
0 |
0 |
0 |
1 |
1 |
1 |
1 |
1 |
0 |
0 |
5 |
M |
|
111
|
Pirani et al, 2021 |
1 |
0 |
0 |
1 |
1 |
1 |
1 |
1 |
1 |
1 |
8 |
L |
|
4
|
Serefoğlu et al, 2021 |
1 |
1 |
0 |
1 |
1 |
1 |
1 |
1 |
1 |
1 |
9 |
L |
|
102
|
Hassan et al, 2022 |
1 |
1 |
0 |
1 |
1 |
1 |
0 |
1 |
0 |
1 |
7 |
M |
|
105
|
Karova et al, 2022 |
0 |
0 |
1 |
1 |
1 |
1 |
0 |
0 |
0 |
1 |
5 |
M |
Abbreviations: RT: Retreatment, M: Medium, L: Low, H: High.
Obturation phase
The effect of root canal sealers on AED was investigated in three studies.12,39,112 In two studies39,112 calcium-silicate-based sealers (CSB) were compared with resin-based sealers (RBS), and in one study, zinc oxide‒eugenol-based sealer (ZOEBS) was compared with RBS.12 According to these studies, there was no significant difference between the tested sealer groups regarding AED.12,39,112 While moderate evidence was obtained for the comparison of RBS and CSBS (two studies with a medium risk of bias),39,112 limited evidence was found for the comparison of RBS and ZOEBS (one study with a medium risk of bias).12
The effect of root canal obturation techniques on AED was evaluated in 5 studies.11,40,41,111,112 Two studies with a low risk of bias compared the effect of cold lateral condensation and the single-cone techniques.11,112 Türker et al11 reported no significant difference between the techniques, while Topçuoğlu et al.112 reported that single-cone use decreased the amount of AED. Therefore, the evidence was conflicting in this regard. The effect of warm obturation techniques on AED was similar to cold obturation techniques in two studies (one with a low risk of bias111 and one with a medium risk of bias40). On the other hand, one study with a low risk of bias112 and one with a medium risk of bias41 reported that warm obturation techniques increased the amount of AED compared to cold obturation techniques. Therefore, the evidence was also conflicting in this regard.
Retreatment phase
The use of solvents during retreatment
Six studies evaluated the effect of solvent use on AED.7,10,11,26,107,108 Different results were reported regarding this step. Two studies with a high risk of bias26,107 and one study with a medium risk of bias7 reported that solvent use did not affect the amount of AED, while one study with a low risk of bias11 and one with a high risk of bias10 reported that solvent use decreased the amount of AED. On the other hand, one study with a medium risk of bias108 reported that solvent use increased the amount of AED. Therefore, the evidence regarding the effect of solvents on the amount of AED was conflicting.
The use of a retreatment system
Manufacturers have produced specific file systems for NSRCRT procedures, such as the ProTaper Universal retreatment system (PTUR, Dentsply Maillefer, Ballaigues, Switzerland), D-RaCe retreatment system (FKG Dentaire, La Chaux-de-Fonds, Switzerland), Mtwo retreatment system (VDW, Munich, Germany), R-Endo retreatment system (Micro-Mega, Besancon, France), EdgeFile retreatment system (EdgeEndo, Albuquerque, NM, USA), Endostar retreatment system (Poldent Co. Ltd., Warsaw, Poland), and XP finisher R file (FKG Dentaire SA, La Chaux-de-Fonds, Switzerland). In eleven studies, none of these retreatment systems were used.26,29,32,35,36,39,94,95,106,108,111 In these studies, reciprocating files such as Reciproc (VDW, Munich, Germany),29,32,35,39,94,95 Reciproc Blue (VDW, Munich, Germany),39 and WaveOne Gold (Dentsply Sirona, Ballaigues, Switzerland)36 or rotary files such as ProTaper Gold (Dentsply Maillefer, Ballaigues, Switzerland)108 and ProTaper Next (Dentsply Maillefer, Ballaigues, Switzerland)32,35 were used. Also, recently manufactured files such as XP Shaper (FKG, La Chaux de Fonds, Switzerland),36,95 Hyflex EDM (Coltene/Whaledent GmbH + Co. KG Germany),36,108,111 and Twisted File (SybronEndo, Orange, CA, USA)29,32,106 were tested. Among the included studies, PTUR was the most selected retreatment system.4,8-12,23,24,28,30,31,34,37,38,41,96-98,99-101,103,104,107,109,110,112-114 Comparative findings on the effect of PTUR and other retreatment systems on the amount of AED are as follows:
PTUR and Mtwo retreatment systems were compared in seven studies.10,23,24,31,38,100,101 One study with a high risk of bias reported that PTUR increased the amount of AED compared to the Mtwo retreatment system,10 while one study with a medium risk of bias reported the opposite.31 Two other studies with a low risk of bias,100,101 one with a medium risk of bias,23 and two with a high risk of bias24,38 reported that both systems resulted in a similar amount of AED. Therefore, moderate evidence was found in favor of similar effects of these retreatment systems.
Six studies compared the effect of PTUR and D-RaCe retreatment systems.23,28,30,34,98,114 Only one study with a medium risk of bias reported that PTUR increased the amount of AED23 compared to the D-RaCe retreatment system. The two remaining studies with a low risk of bias28,30 and three with a medium risk of bias34,98,114 reported that both systems resulted in a similar amount of AED. Therefore, strong evidence was found in favor of similar effects of these retreatment systems.
The effects of PTUR and R-Endo retreatment systems were compared in six studies.4,8,23,28,98,101 Only one study with a medium risk of bias reported that PTUR increased the amount of AED23 compared to the R-Endo retreatment system. The four remaining studies with a low risk of bias4,8,28,101 and one with a medium risk of bias98 reported that both systems resulted in a similar amount of AED. Therefore, strong evidence was found in favor of similar effects of these retreatment systems.
The effects of PTUR and Endostar retreatment systems were compared in one study with a medium risk of bias.104 There was no significant difference between the systems regarding the amount of AED. Therefore, limited evidence was found for the similar effects of these retreatment systems.
The remaining comparisons of other retreatment systems are presented in Table 2.
Table 2.
Level of evidence results of different retreatment systems comparisons
|
Study
|
RS Comparison
|
Risk of bias
|
Level of evidence
|
| Arslan et al, 201498 |
D-RaCe = R-Endo |
M |
D-RaCe RS vs R-Endo RS: Modarate evidence for D-RaCe RS = R-Endo RS |
| Topçuoğlu et al, 201428 |
D-RaCe = R-Endo |
L |
| Çanakçı et al, 201623 |
Mtwo > D-Race = R-Endo |
M |
D-RaCe RS vs EdgeFile RS: Modarate evidence for D-RaCe RS = EdgeFile RS |
| Gkampesi et al, 2016101 |
Mtwo = R-Endo |
L |
| Uzunoglu & Türker, 201625 |
D-RaCe > EdgeFileXR |
L |
Mtwo RS vs D-RaCe RS: Conflicting evidence for Mtwo RS = D-RaCe RS |
| Kamil & Al-Sabawi, 202040 |
D-RaCe > EdgeFileXR |
M |
| Karova et al, 2022105 |
Mtwo = D-RaCe |
M |
Mtwo RS vs R-Endo RS: Conflicting evidence for Mtwo RS = R-Endo RS |
Abbreviations: RS: Retreatment System, M: Medium, L: Low.
= : No significant difference, >: Significantly higher, amount of extruded debris sequenced from the most to the least
The use of additional file systems after instrumentation with retreatment systems
In 12 studies, retreatment was completed with only one of the retreatment systems mentioned above,9,10,31,34,40,97,98,104,105,107,109,113 while in 21 studies, retreatment was completed with the use of additional rotary or reciprocating file systems after instrumentation with one of the retreatment systems.4,7,8,11,12,23,25,27,28,30,37,38,41,96,98,99,101-103,112,114 However, only four studies evaluated whether the use of additional file systems had an impact on the amount of AED.24,94,100,110 Of these studies, one presented low,100 one presented medium,94 and two presented high risk of bias.24,110 Cakıcı et al100 and Türker et al94 reported that additional file use did not affect the amount of AED, while Çiçek et al24 and Pawar et al110 reported that additional file use increased the amount of AED. Therefore, conflicting evidence was found in this regard.
Manual instrumentation vs. engine-driven instrumentation
Twenty-three studies compared the effect of manual instrumentation with hand files and engine-driven instrumentation with rotary, reciprocating files, or ultrasonic tips.4,7-10,27,31,34,38,96,98,101-103,106,107,109,113,114 Of these studies, seven presented low4,8,28,30,101,103,106; nine presented medium,7,27,29,31,34,97,98,102,114 and seven presented high risk of bias.9,10,38,96,107,109,113 Four studies with a low risk of bias reported that manual instrumentation extruded more debris apically compared to engine-driven instrumentation.8,28,30,106 Furthermore, 78% of the studies reported that manual instrumentation extruded more debris apically compared to engine-driven instrumentation.8-10,27-30,34,38,96,97,101-103,106,109,113,114 Therefore, strong evidence indicated the increased debris extrusion potential of manual instrumentation compared to engine-driven instrumentation.
Manual instrumentation vs. rotary instrumentation
Since there was at least one rotary group in the 23 studies above, the same studies were also evaluated in this section.4,7-10,27-31,34,38,96-98,101-103,106,107,109,113,114 Overall, 15 studies reported manual instrumentation during NSRCRT extruded more debris apically compared to rotary instrumentation,9,10,27-30,96,97,101-103,106,109,113,114 and three of them presented a low risk of bias.28,30,106 Eight studies reported no difference between the amount of AED with both instrumentation types.4,7,8,31,34,38,98,107 Therefore, there is moderate evidence that rotary instrumentation has less residual extrusion potential than manual instrumentation.
Manual instrumentation vs. reciprocating instrumentation
Seven studies compared the effect of manual instrumentation and reciprocating instrumentation.4,8,29-31,34,38 Two studies with low,8,30 two with medium,29,34 and one with high risk of bias38 reported that hand files extruded more debris apically compared to reciprocating files. Two studies (one with low4 and one with medium risk of bias31) reported no significant difference between the amount of AED with both instrumentation types. Therefore, there is moderate evidence that reciprocating instrumentation has less residual extrusion potential than manual instrumentation.
Rotary instrumentation vs. reciprocating instrumentation
Fifteen studies4,8,23,25,29-32,34-38,95,99 compared the effects of rotary files and reciprocating files. Five studies (two with low,25,37 two with medium,31,34 and one with high risk of bias38) reported that rotary files extruded more debris apically compared to reciprocating files, while two studies with medium risk of bias reported the opposite.23,32 Eight studies (three with low4,8,30 and five with medium risk of bias29,35,36,95,99) reported no significant difference between the amount of AED with both instrumentation types. Therefore, conflicting evidence was found in this regard.
Meta-analysis
Quantitative analysis could be performed for the effect of instrumentation types on the amount of AED as the studies provided adequate data to be combined.
Manual instrumentation vs. engine-driven instrumentation
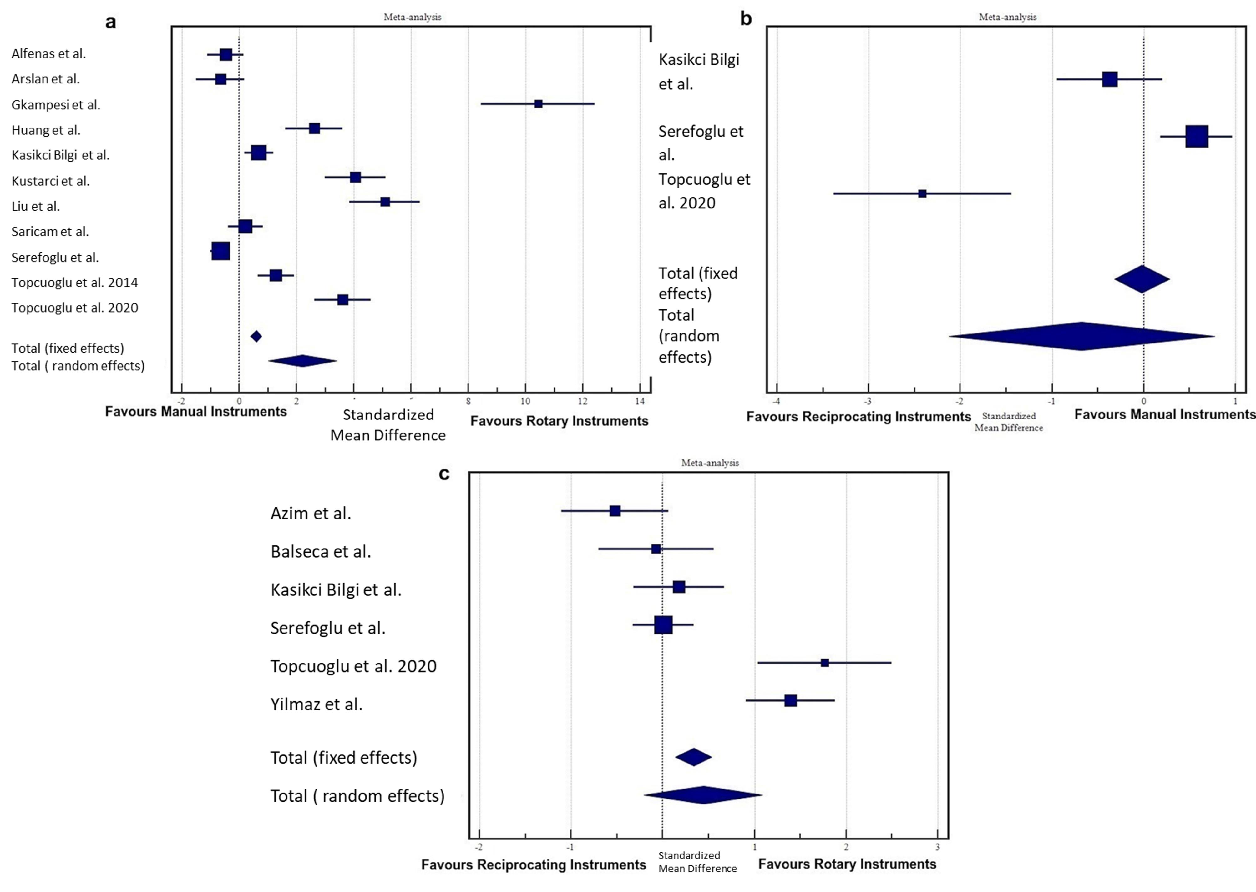
Eighteen studies were included in this analysis.4,7-10,27-31,96,98,101,103,106,107,109,114 A random-effects model was used (I2 = 96.90%, P < 0.0001), which revealed no significant difference in the amount of AED between manual and engine-driven instrumentation techniques [SMD: 0.74, 95% confidence interval (CI): -0.086‒1.573, P > 0.05] (Figure 2a).
Figure 2.
a. Forest plot of standardized mean difference (SMD) with 95% confidence interval (CI) of the apically extruded debris weight using manual instruments vs. engine-driven instruments. b. Forest plot of SMD with 95% CI of the apically extruded debris weight using manual instruments vs. engine-driven instruments, excluding studies that used different amounts of root canal irrigants
Figure 2.
a. Forest plot of standardized mean difference (SMD) with 95% confidence interval (CI) of the apically extruded debris weight using manual instruments vs. engine-driven instruments. b. Forest plot of SMD with 95% CI of the apically extruded debris weight using manual instruments vs. engine-driven instruments, excluding studies that used different amounts of root canal irrigants
A previous study reported that irrigation itself may play an important role in the amount of AED.115 Considering this, a meta-analysis was also performed with studies that specifically used the same irrigant volume in groups during NSRCRT procedures.4,7,8,27,28,30,96,98,101,103,106 Interestingly, this time, a random-effects model (I2 = 96.71%, P < 0.0001) revealed a significant difference in the amount of AED between manual and engine-driven instrumentation techniques (SMD: 1.95, 95% CI: 0.888‒3.003, P < 0.001) (Figure 2b). Considering this result, quantitative analyses of the following subgroups were performed with studies reporting the use of the same irrigant volume in groups during the NSRCRT.
Manual instrumentation vs. rotary instrumentation
Eleven studies were included in this subgroup analysis.4,7,8,27,28,30,96,98,101,103,106 Significant heterogeneity was found (I2 = 96.95%, P < 0.0001). A random-effects model revealed that manual instrumentation resulted in a higher amount of AED than rotary instrumentation during NSRCRT (SMD: 2.21, 95% CI: 1.021‒3.395, P < 0.001) (Figure 3a).
Figure 3.
a. Forest plot of standardized mean difference (SMD) with 95% confidence interval (CI) of the apically extruded debris using manual instruments vs. rotary instruments. b. Forest plot of SMD with 95% confidence interval (CI) of the apically extruded debris using reciprocating instruments vs. manual instruments. c. Forest plot of SMD with 95% confidence interval (CI) of the apically extruded debris using reciprocating instruments vs. rotary instruments
Figure 3.
a. Forest plot of standardized mean difference (SMD) with 95% confidence interval (CI) of the apically extruded debris using manual instruments vs. rotary instruments. b. Forest plot of SMD with 95% confidence interval (CI) of the apically extruded debris using reciprocating instruments vs. manual instruments. c. Forest plot of SMD with 95% confidence interval (CI) of the apically extruded debris using reciprocating instruments vs. rotary instruments
Reciprocating instrumentation vs. manual instrumentation
Three studies were included in this subgroup analysis.4,8,30 Significant heterogeneity was found (I2 = 94.46%, P < 0.0001). A random-effects model revealed no significant difference in the amount of AED between hand and reciprocating instruments during NSRCRT (SMD: -0.678, 95% CI: -2.126‒0.769, P = 0.356) (Figure 3b).
Reciprocating instrumentation vs. rotary instrumentation
Six studies were included in this subgroup analysis.4,8,30,32,36,99 A random-effects model (I2 = 89.79%, P < 0.0001) revealed no significant difference in the amount of AED between the rotary and reciprocating instruments during NSRCRT (SMD: 0.44, 95% CI: -0.205‒1.087, P = 0.181) (Figure 3c).
Discussion
This systematic review and meta-analysis were performed to reveal the effects of various variables in the NSRCRT procedure on AED. The treatment variables evaluated in the included studies can be listed as obturation technique and sealer type during the filling of root canals and solvent use, retreatment system, and motion kinematics during the removal of filling materials. According to this review, most of the studies examined the effects of variables in the retreatment phase rather than in the obturation phase. Therefore, the evidence level for treatment variables in the obturation phase was generally limited or conflicting due to the small number of studies. In terms of variables in the retreatment phase, strong evidence showed that manual techniques cause more AED than engine-driven techniques during the removal of filling materials.
Despite the limited number of studies, the present findings show that treatment variables in the obturation phase do not have a prominent effect on debris extrusion. Resin-based sealers were compared with calcium silicate- and zinc-oxide eugenol-based sealers in the studies, and there were no differences between sealers regarding AED because of their similar physical properties. It has been reported that resin- and calcium silicate-based sealers revealed similar dentinal tubule penetration and removability patterns.116,117 Conflicting results were obtained from the studies that compared the effect of warm (continuous wave, warm vertical compaction, and carrier-based obturation) and cold obturation techniques (single cone and cold lateral condensation) on AED.40,41,111,112 This could be because of the different application steps of each obturation technique. Some of the included studies reported that the warm vertical compaction technique increased the amount of AED compared to cold lateral condensation41,112 and single cone techniques112 because the warm vertical compaction technique provides more homogenous dense root canal filling118 with a lower percentage of voids119 and greater mass of gutta-percha118 than cold obturation techniques. However, the available data do not provide a high level of evidence nor allow quantitative analysis; therefore, further studies are required to clarify the effect of obturation techniques on AED.
There were some variables in the retreatment phase of the included studies, including the type of irrigant used. Distilled water was the irrigant of choice in most of the studies included, while NaOCl was used in a few studies. The reason for using NaOCl in these studies is probably to simulate clinical conditions as much as possible.37 On the other hand, it has been reported that NaOCl crystallizes after evaporation, increasing the amount of AED.120 For these reasons, it may be more reasonable to use distilled water during NSRCRT in ex vivo studies measuring the amount of AED. However, the literature on the effect of different irrigants on the amount of AED is lacking, so it is difficult to reach a specific conclusion. The quantitative analysis in the present study revealed that not using the same volume of irrigant in each group can be a confounding factor when comparing the amount of AED. When all eligible studies were combined in the meta-analysis,4,7-10,27-31,96,98,101,103,106,107,109,114 no significant difference was found in the amount of AED between the manual and engine-driven instrumentation techniques. On the other hand, when the studies using the same irrigant volume in the groups were combined,4,7,8,27,28,30,96,98,101,103,106 it was found that the manual instrumentation technique extruded significantly more debris than the engine-driven instrumentation technique. Therefore, using irrigants at different volumes in groups could be the reason for this finding. Interestingly, Vande Visse and Brilliant115 reported that irrigation itself plays an important role in collectible debris. Collectible debris was observed when an irrigant was used; however, there was no debris extrusion when an irrigant was not used. The effect of volume and type of irrigants used during NSRCRT on AED must be clarified with further studies.
The findings in favor of rotary instrumentation compared to manual instrumentation can be explained by the fact that rotary instruments move debris coronally instead of compacting it apically.27 Furthermore, early flaring of the coronal third may improve instrument control during the reshaping of the apical third. This may also prevent the friction of the instrument and pressure on it in the root canal, which could increase AED. On the other hand, the quantitative analysis revealed no significant difference in the amount of AED between manual and reciprocating instrumentation, which might be related to the low number of studies combined for this analysis,4,8,30 as the use of reciprocating instruments was found to extrude less debris compared to hand instruments in two studies.8,30 Reciprocating systems are single-file systems, so the number of instruments used in this technique is low compared to manual instrumentation techniques, and coronal enlargement is performed in the early stages of root canal preparation during reciprocating instrumentation, similar to rotary instrumentation, which might have contributed to less debris extrusion with reciprocating instrumentation in these studies.8,30
The quantitative analysis for the effect of rotary and reciprocating instruments on AED during NSRCRT revealed no significant difference between them.4,8,30,32,36,99 A recent systematic review concluded that the use of reciprocating instruments increased the amount of AED compared to rotary instruments.121 The different results between the studies may be due to differences in the research question. The current review included the studies that performed retreatment, while the previous review included the studies that performed initial root canal treatment.121 Furthermore, the previous review evaluated only single-file systems,121 while the current review was conducted without restriction on the number of files. It is also important to mention that most of the studies included in the current review used rotary file systems specifically manufactured for NSRCRT procedures. However, reciprocating files were manufactured for initial root canal treatment instead of retreatment.
In some of the included studies, special file systems manufactured only for NSRCRT procedures were used. Among these systems, the most frequently used system was PTUR, followed by D-RaCe, Mtwo, and R-Endo retreatment systems, respectively. Strong evidence was found regarding the similar extrusion potential of PTUR with D-RaCe and R-Endo systems. In contrast, moderate evidence was found regarding similar extrusion potential of PTUR and Mtwo retreatment systems. Therefore, it can be concluded that retreatment systems have a similar effect regarding the apical extrusion of debris.
Another treatment variable in the NSRCRT phase was the use of solvents during the removal of filling materials. Based on the present review, inconsistent findings were reported regarding the effect of solvent use on AED.7,10,11,26,107,108 Solvents can make the removal of filling materials easier and quicker.11,26 However, it may negatively affect the cleanliness of root canal walls122,123 and present cytotoxicity.124 Therefore, the use of solvents during NSRCRT is controversial.
Many studies reported the importance of using a larger file during the NSRCRT procedure than the master file used in the initial treatment to improve the cleanliness of root canals.11,125 Twenty-four of the included studies ensured this procedure in all groups4,7,8,11,12,23,25,26,28-30,32,35,37-39,41,94,96,99,101,106,11,112; however, in 11 studies retreatment procedures were completed with either smaller files or with similar files compared to the master file used during initial treatment.9,10,27,31,34,36,40,98,104,105,114 The standardization in this step can help obtain results that are in line with the clinical goals, such as the complete removal of filling materials from the root canal system.
The amount of AED can be evaluated with different methods, such as measuring debris weight, using three-dimensional imaging, and evaluating neuropeptide release, bacteria extrusion, or irrigant extrusion.20 According to a recent critical review, many studies adopted the methodology of Myers and Montgomery126 to evaluate the amount of AED.20 In this method, debris is collected in an empty pre-weighed tube and re-weighed after an evaporation step to obtain dry debris.126 This method offers advantages such as practicality, simplicity, reproducibility, and possible comparison between treatment variables.20 Considering its advantages and popularity, studies that followed a protocol similar to the Myers and Montgomery method126 were included in the present review. Including studies with a similar method allowed us to obtain more comparable results. On the other hand, it is important to mention that notable differences were observed in eliminating irrigants from collector tubes between the studies. Different incubation conditions ranging from 5 h to 4 weeks and 37 °C to 140 °C were reported to obtain dry debris in the included studies. No ideal conditions have been reported for this step, and the effect of different durations or temperatures on the debris weight has not been investigated in the literature.
In this review, many parameters were considered when evaluating the risk of bias in the included studies. Sample size calculation, which was reported as a factor directly affecting the study’s results, was one of the parameters.127 Internal and external validity of the study is undermined with very small samples, while very large samples may play a role in statistical significance.127 In more than 70% of the included studies, sample size calculation was not performed before the experiments, which increased the risk of bias. Standardization of samples in terms of apical diameter and root canal shape may significantly impact the reliability of the results.4,30,128 Root canal shape could affect the volume of filling materials in the initial treatment, and apical diameter could affect the extrusion potential. Less than half of the included studies (41%) reported that initial apical diameter was standardized during sample selection, while only 22% of the included studies reported that the root canal shape of samples was standardized. Furthermore, 26% of the included studies did not check root canal obturation quality. Obturation quality might play a role in the amount of AED, and assigning poorly obturated samples to one group may increase the risk of bias. On the other hand, it is important to mention that in clinical situations, NSRCRT is generally performed in root canals that are poorly obturated. However, for the standardization of ex vivo studies, obturation quality should be checked to ensure adequate filling of samples. It is known that randomization prevents the selection bias and produces the comparable groups.129 Randomisation was performed in 93% of the studies, decreasing the risk of bias. Performing removal procedures by a single/experienced operator following the manufacturer’s instructions may also increase the quality of a study. It was reported that operator variations could affect the results of a study.130 Therefore, conducting all NSRCRT procedures by a single/experienced operator according to the manufacturer’s instructions would be beneficial for the reliability of the study, and this was performed by less than half of the included studies (n = 18). Blinding of the operator is another parameter that can minimize bias and increase validity;131 around 72% of the included studies provided this parameter. Studies should also consider standardizing NSRCRT completion steps such as reaching WL, taking radiographs to confirm complete removal, or checking files for cleanliness. At least one of these steps was reported in 85% of the included studies and reduced the risk of bias. Standardization of irrigant volume in groups during the NSRCRT procedure was another parameter taken into account when evaluating the risk of bias, and the effect of this parameter on the results has been discussed in detail in the previous paragraphs. In 63% of the included studies, the standard volume of irrigant was used in groups during NSRCT procedures. All these variables may affect the results and prevent reproducibility. It is recommended that future studies consider all these parameters when conducting experiments to obtain more reproducible and reliable data.
Conclusion
The current study systematically reviewed the effects of treatment variables on AED following root canal retreatment procedures. It can be concluded that engine-driven instruments, especially rotary instruments, decreased the amount of AED compared to manual instruments. Therefore, the use of rotary instruments can be recommended during the removal of filling materials to control the amount of AED. Further studies with a low risk of bias are needed to obtain a high level of evidence for the effect of other variables such as type of sealer, obturation technique, use of solvent, and use of reciprocating instruments.
Acknowledgments
The authors are grateful to the researchers who shared their missing data.
Competing Interests
The authors declare that they have no conflict of interest.
Ethical Approval
Not applicable.
Funding
None.
Supplementary Files
Supplementary Table 1. Examples of the search strategy of databases
(pdf)
Supplementary Table 2. The excluded articles and the reasons for exclusion
(pdf)
Supplementary Table 3. Extracted variables from the included articles
(pdf)
References
- Azarpazhooh A, Sgro A, Cardoso E, Elbarbary M, Laghapour Lighvan N, Badewy R. A scoping review of 4 decades of outcomes in nonsurgical root canal treatment, nonsurgical retreatment, and apexification studies-part 2: outcome measures. J Endod 2022; 48(1):29-39. doi: 10.1016/j.joen.2021.09.019 [Crossref] [ Google Scholar]
- Nair PN. On the causes of persistent apical periodontitis: a review. Int Endod J 2006; 39(4):249-81. doi: 10.1111/j.1365-2591.2006.01099.x [Crossref] [ Google Scholar]
- Seltzer S, Naidorf IJ. Flare-ups in endodontics: I Etiological factors. J Endod 1985; 11(11):472-8. doi: 10.1016/s0099-2399(85)80220-x [Crossref] [ Google Scholar]
- Serefoglu B, Kandemir Demirci G, Miçooğulları Kurt S, Kaşıkçı Bilgi İ, Çalışkan MK. Impact of root canal curvature and instrument type on the amount of extruded debris during retreatment. Restor Dent Endod 2021; 46(1):e5. doi: 10.5395/rde.2021.46.e5 [Crossref] [ Google Scholar]
- Crozeta BM, Lopes FC, Menezes Silva R, Silva-Sousa YTC, Moretti LF, Sousa-Neto MD. Retreatability of BC sealer and AH plus root canal sealers using new supplementary instrumentation protocol during non-surgical endodontic retreatment. Clin Oral Investig 2021; 25(3):891-9. doi: 10.1007/s00784-020-03376-4 [Crossref] [ Google Scholar]
- Azizi Mazreah S, Shirvani A, Azizi Mazreah H, Dianat O. Evaluation of irrigant extrusion following the use of different root canal irrigation techniques: a systematic review and meta-analysis. Aust Endod J 2023; 49(2):396-417. doi: 10.1111/aej.12678 [Crossref] [ Google Scholar]
- Alfenas CF, de Azevedo Jacinto I, de Azevedo Carvalhal JC, Faria MT, Lins FF, de Souza Gonçalves L. [Comparison of the amount of apically extruded debris produced by four retreatment techniques: an ex vivo study]. Rev Bras Odontol 2017; 74(4):309-13. doi: 10.18363/rbo.v74n4.p.309 [Crossref] [ Google Scholar]
- Kaşıkçı Bilgi I, Köseler I, Güneri P, Hülsmann M, Çalışkan MK. Efficiency and apical extrusion of debris: a comparative ex vivo study of four retreatment techniques in severely curved root canals. Int Endod J 2017; 50(9):910-8. doi: 10.1111/iej.12708 [Crossref] [ Google Scholar]
- Kasam S, Mariswamy AB. Efficacy of different methods for removing root canal filling material in retreatment - an in-vitro study. J Clin Diagn Res 2016; 10(6):ZC06-10. doi: 10.7860/jcdr/2016/17395.7904 [Crossref] [ Google Scholar]
- Shivanna V, Dixit K. Comparative evaluation of debris extruded apically by different file systems during retreatment of root canals with or without use of solvent. CODS J Dent 2018; 10(2):35-8. doi: 10.5005/jp-journals-10063-0036 [Crossref] [ Google Scholar]
- Türker SA, Uzunoğlu E, Sağlam BC. Evaluation of the amount of apically extruded debris during retreatment of root canals filled by different obturation techniques. Niger J Clin Pract 2015; 18(6):802-6. doi: 10.4103/1119-3077.158140 [Crossref] [ Google Scholar]
- Çanakçi BC, Er O, Dincer A. Do the sealer solvents used affect apically extruded debris in retreatment?. J Endod 2015; 41(9):1507-9. doi: 10.1016/j.joen.2015.02.010 [Crossref] [ Google Scholar]
- Salgado KR, de Castro RF, Prado MC, Brandão GA, da Silva JM, da Silva E. Cleaning ability of irrigants and orange oil solvent combination in the removal of root canal filling materials. Eur Endod J 2019; 4(1):33-7. doi: 10.14744/eej.2018.14632 [Crossref] [ Google Scholar]
- Yang X, Lan J, Ji M, Tsauo C, Gao Y, Zou L. Assessment of the effectiveness of supplementary methods for residual filling material removal using micro-computed tomography: a systematic review and meta-analysis of in vitro studies. Eur Endod J 2022; 7(3):178-86. doi: 10.14744/eej.2022.22932 [Crossref] [ Google Scholar]
- Tanalp J, Güngör T. Apical extrusion of debris: a literature review of an inherent occurrence during root canal treatment. Int Endod J 2014; 47(3):211-21. doi: 10.1111/iej.12137 [Crossref] [ Google Scholar]
- Brooks JK, Kleinman JW. Retrieval of extensive gutta-percha extruded into the maxillary sinus: use of 3-dimensional cone-beam computed tomography. J Endod 2013; 39(9):1189-93. doi: 10.1016/j.joen.2013.04.006 [Crossref] [ Google Scholar]
- Harada T, Harada K, Nozoe A, Tanaka S, Kogo M. A novel surgical approach for the successful removal of overextruded separated endodontic instruments. J Endod 2021; 47(12):1942-6. doi: 10.1016/j.joen.2021.08.012 [Crossref] [ Google Scholar]
- Drumond J, Maeda W, Nascimento WM, de Campos DL, Prado MC, de-Jesus-Soares A. Comparison of postobturation pain experience after apical extrusion of calcium silicate- and resin-based root canal sealers. J Endod 2021; 47(8):1278-84. doi: 10.1016/j.joen.2021.05.008 [Crossref] [ Google Scholar]
- Siqueira JF Jr, Rôças IN, Favieri A, Machado AG, Gahyva SM, Oliveira JC. Incidence of postoperative pain after intracanal procedures based on an antimicrobial strategy. J Endod 2002; 28(6):457-60. doi: 10.1097/00004770-200206000-00010 [Crossref] [ Google Scholar]
- Tanalp J. A critical analysis of research methods and experimental models to study apical extrusion of debris and irrigants. Int Endod J 2022; 55 Suppl 1:153-77. doi: 10.1111/iej.13686 [Crossref] [ Google Scholar]
- Holland R, De Souza V, Nery MJ, de Mello W, Bernabé PF, Otoboni Filho JA. Tissue reactions following apical plugging of the root canal with infected dentin chips A histologic study in dogs’ teeth. Oral Surg Oral Med Oral Pathol 1980; 49(4):366-9. doi: 10.1016/0030-4220(80)90149-8 [Crossref] [ Google Scholar]
- Tinaz AC, Alacam T, Uzun O, Maden M, Kayaoglu G. The effect of disruption of apical constriction on periapical extrusion. J Endod 2005; 31(7):533-5. doi: 10.1097/01.don.0000152294.35507.35 [Crossref] [ Google Scholar]
- Çanakçi BC, Ustun Y, Er O, Genc Sen O. Evaluation of apically extruded debris from curved root canal filling removal using 5 nickel-titanium systems. J Endod 2016; 42(7):1101-4. doi: 10.1016/j.joen.2016.03.012 [Crossref] [ Google Scholar]
- Çiçek E, Koçak MM, Koçak S, Sağlam BC. Comparison of the amount of apical debris extrusion associated with different retreatment systems and supplementary file application during retreatment process. J Conserv Dent 2016; 19(4):351-4. doi: 10.4103/0972-0707.186456 [Crossref] [ Google Scholar]
- Uzunoglu E, Turker SA. Impact of different file systems on the amount of apically extruded debris during endodontic retreatment. Eur J Dent 2016; 10(2):210-4. doi: 10.4103/1305-7456.178306 [Crossref] [ Google Scholar]
- Li S, Shen S, Wang L, Niu Y, Pan S, Fahima S. The effect of various organic solvents on microhardness of dentin and the preliminary study on the antibacterial function. New Armen Med J 2020; 14(1):32-9. [ Google Scholar]
- Kustarci A, Altunbas D, Akpinar KE. Comparative study of apically extruded debris using one manual and two rotary instrumentation techniques for endodontic retreatment. J Dent Sci 2012; 7(1):1-6. doi: 10.1016/j.jds.2011.09.011 [Crossref] [ Google Scholar]
- Topçuoğlu HS, Aktı A, Tuncay Ö, Dinçer AN, Düzgün S, Topçuoğlu G. Evaluation of debris extruded apically during the removal of root canal filling material using ProTaper, D-RaCe, and R-Endo rotary nickel-titanium retreatment instruments and hand files. J Endod 2014; 40(12):2066-9. doi: 10.1016/j.joen.2014.09.004 [Crossref] [ Google Scholar]
- Altunbas D, Kutuk B, Toyoglu M, Kutlu G, Kustarci A, Er K. Reciproc versus Twisted file for root canal filling removal: assessment of apically extruded debris. J Istanb Univ Fac Dent 2016; 50(2):31-7. doi: 10.17096/jiufd.96734 [Crossref] [ Google Scholar]
- Topçuoğlu HS, Demirbuga S, Topçuoğlu G. Evaluation of apically extruded debris during the removal of canal filling material using three different Ni-Ti systems and hand files in teeth with simulated apical root resorption. Int Endod J 2020; 53(3):403-9. doi: 10.1111/iej.13234 [Crossref] [ Google Scholar]
- de Sant’Anna Dadalti MT, de Almeida NE, Ormiga F, de Andrade Risso P. Evaluation of apical debris extrusion during endodontic retreatment by different systems. Eur J Gen Dent 2020; 9(2):69-72. doi: 10.4103/ejgd.ejgd_114_19 [Crossref] [ Google Scholar]
- Yılmaz K, Özyürek T. Apically extruded debris after retreatment procedure with Reciproc, ProTaper Next, and Twisted File Adaptive instruments. J Endod 2017; 43(4):648-51. doi: 10.1016/j.joen.2016.12.003 [Crossref] [ Google Scholar]
- Simões LP, Dos Reis-Prado AH, Bueno CRE, Viana AC, Duarte MA, Cintra LT. Effectiveness and safety of rotary and reciprocating kinematics for retreatment of curved root canals: a systematic review of in vitro studies. Restor Dent Endod 2022; 47(2):e22. doi: 10.5395/rde.2022.47.e22 [Crossref] [ Google Scholar]
- Delai D, Boijink D, Hoppe CB, Grecca AS, Kopper PM. Apically extruded debris in filling removal of curved canals using 3 NiTi systems and hand files. Braz Dent J 2018; 29(1):54-9. doi: 10.1590/0103-6440201801760 [Crossref] [ Google Scholar]
- Nevares G, Romeiro K, Albuquerque D, Xavier F, Fogel H, Freire L. Evaluation of apically extruded debris during root canal retreatment using ProTaper Next and Reciproc in severely curved canals. Iran Endod J 2017; 12(3):323-8. doi: 10.22037/iej.v12i3.15850 [Crossref] [ Google Scholar]
- Azim AA, Wang HH, Tarrosh M, Azim KA, Piasecki L. Comparison between single-file rotary systems: part 1-efficiency, effectiveness, and adverse effects in endodontic retreatment. J Endod 2018; 44(11):1720-4. doi: 10.1016/j.joen.2018.07.022 [Crossref] [ Google Scholar]
- Silva EJ, Sá L, Belladonna FG, Neves AA, Accorsi-Mendonça T, Vieira VT. Reciprocating versus rotary systems for root filling removal: assessment of the apically extruded material. J Endod 2014; 40(12):2077-80. doi: 10.1016/j.joen.2014.09.009 [Crossref] [ Google Scholar]
- Dincer AN, Er O, Canakci BC. Evaluation of apically extruded debris during root canal retreatment with several NiTi systems. Int Endod J 2015; 48(12):1194-8. doi: 10.1111/iej.12425 [Crossref] [ Google Scholar]
- Romeiro K, de Almeida A, Cassimiro M, Gominho L, Dantas E, Chagas N. Reciproc and Reciproc Blue in the removal of bioceramic and resin-based sealers in retreatment procedures. Clin Oral Investig 2020; 24(1):405-16. doi: 10.1007/s00784-019-02956-3 [Crossref] [ Google Scholar]
- Kamil SS, Al-Sabawi NA. Comparative evaluation of three rotary retreatment systems for apical extrusion of root canals obturated with different techniques. Tikrit J Dent Sci 2020; 8(2):38-46. doi: 10.25130/tjds.8.2.1 [Crossref] [ Google Scholar]
- Canakci BC, Sungur R, Er O. Comparison of warm vertical compaction and cold lateral condensation of α, β gutta-percha and resilon on apically extruded debris during retreatment. Niger J Clin Pract 2019; 22(7):926-31. doi: 10.4103/njcp.njcp_663_18 [Crossref] [ Google Scholar]
- Page MJ, McKenzie JE, Bossuyt PM, Boutron I, Hoffmann TC, Mulrow CD. The PRISMA 2020 statement: an updated guideline for reporting systematic reviews. Syst Rev 2021; 10(1):89. doi: 10.1186/s13643-021-01626-4 [Crossref] [ Google Scholar]
- Yaylali IE, Kececi AD, Ureyen Kaya B. Ultrasonically activated irrigation to remove calcium hydroxide from apical third of human root canal system: a systematic review of in vitro studies. J Endod 2015; 41(10):1589-99. doi: 10.1016/j.joen.2015.06.006 [Crossref] [ Google Scholar]
- AlShwaimi E, Bogari D, Ajaj R, Al-Shahrani S, Almas K, Majeed A. In vitro antimicrobial effectiveness of root canal sealers against Enterococcus faecalis: a systematic review. J Endod 2016; 42(11):1588-97. doi: 10.1016/j.joen.2016.08.001 [Crossref] [ Google Scholar]
- Higgins JP, Thompson SG, Deeks JJ, Altman DG. Measuring inconsistency in meta-analyses. BMJ 2003; 327(7414):557-60. doi: 10.1136/bmj.327.7414.557 [Crossref] [ Google Scholar]
- Al-Haddad A, Che Ab Aziz ZA. Apically extruded debris during removal of RealSealTM using two re-treatment rotary systems. Aust J Basic Appl Sci 2011; 5(3):114-9. [ Google Scholar]
- Al-Sabawi NA. Evaluation of two rotary nickel-titanium systems for gutta percha removal during endodontic retreatment. Al-Rafidain Dent J 2013; 13(1):21-8. [ Google Scholar]
- Aun CE, dos Santos M. Quantity of apical extruded material and efficiency of five different methods of removing gutta-percha and sealer from root canals--”in vitro” evaluation. Rev Faculdade Odontol FZL 1989; 1(2):63-73. [ Google Scholar]
- Azevedo KC, Pereira AG, de Oliveira MA, Raposo LH, Sousa-Neto MD, Pécora JD. Micro-computed tomographic evaluation of removal and extrusion of root filling material during canal retreatment. Biosci J 2016; 32(4):1110-7. [ Google Scholar]
- Baybora Kayahan M, Ayhan T, Güven EP, Tanalp J. Comparison of the amount of apically extruded debris during retreatment using different nickel-titanium systems and hand instruments in teeth with wide apices. Biomed Res 2017; 28(7):3136-9. [ Google Scholar]
- Betti LV, Bramante CM. Quantec SC rotary instruments versus hand files for gutta-percha removal in root canal retreatment. Int Endod J 2001; 34(7):514-9. doi: 10.1046/j.1365-2591.2001.00424.x [Crossref] [ Google Scholar]
- Boboc SA, Preda M, Băcioiu A, Petrescu SM, Turcu A, Dascălu IT. Comparative study on the efficiency of rotary versus manual instruments in removing the root canal filling. Rom J Oral Rehabil 2020; 12(2):13-24. [ Google Scholar]
- Bramante CM, Betti LV. Efficacy of Quantec rotary instruments for gutta-percha removal. Int Endod J 2000; 33(5):463-7. doi: 10.1046/j.1365-2591.2000.00340.x [Crossref] [ Google Scholar]
- Canali LCF, Duque JA, Vivan RR, Bramante CM, Só MV, Duarte MA. Comparison of efficiency of the retreatment procedure between Wave One Gold and Wave One systems by micro-CT and confocal microscopy: an in vitro study. Clin Oral Investig 2019; 23(1):337-43. doi: 10.1007/s00784-018-2441-y [Crossref] [ Google Scholar]
- Chandrasekar Chandrasekar, Ebenezar AV, Kumar M, Sivakumar A. A comparative evaluation of gutta percha removal and extrusion of apical debris by rotary and hand files. J Clin Diagn Res 2014; 8(11):Zc110-4. doi: 10.7860/jcdr/2014/10203.5199 [Crossref] [ Google Scholar]
- Deonizio MD, Sydney GB, Batista A, Pontarolo R, Guimarães PR, Gavini G. Influence of apical patency and cleaning of the apical foramen on periapical extrusion in retreatment. Braz Dent J 2013; 24(5):482-6. doi: 10.1590/0103-6440201302016 [Crossref] [ Google Scholar]
- Dhaimy S, Kim HC, Bedida L, Benkiran I. Efficacy of reciprocating and rotary retreatment nickel-titanium file systems for removing filling materials with a complementary cleaning method in oval canals. Restor Dent Endod 2021; 46(1):e13. doi: 10.5395/rde.2021.46.e13 [Crossref] [ Google Scholar]
- Dixit K, Shivanna V, Siddheshwaran V. An ex-vivo comparison of apical extrusion of debris and working time used by three different ProTaper file systems during endodontic retreatment. IOSR J Dent Med Sci 2018; 17(8):22-5. doi: 10.9790/0853-1708042225 [Crossref] [ Google Scholar]
- Doğanay Yıldız E, Arslan H. The effect of blue thermal treatment on endodontic instruments and apical debris extrusion during retreatment procedures. Int Endod J 2019; 52(11):1629-34. doi: 10.1111/iej.13161 [Crossref] [ Google Scholar]
- Frajlich SR, Goldberg F, Massone EJ, Cantarini C, Artaza LP. Comparative study of retreatment of Thermafil and lateral condensation endodontic fillings. Int Endod J 1998; 31(5):354-7. doi: 10.1046/j.1365-2591.1998.00168.x [Crossref] [ Google Scholar]
- Ghoddusi J, Ghaziani P, Nazari S, Talati A. Comparison of the extruded apical debris rate following rotary and hand instrumentation techniques during endodontic retreatment. J Mashhad Dent Sch 2005; 29(1-2):105-14. doi: 10.22038/jmds.2005.1513.[Persian] [Crossref] [ Google Scholar]
- Mora González LA, Rivera Martínez S, Vásquez Santiago HJ, González Guzmán BD, Martínez Rojas C. [Ex vivo evaluation of the amount of extruded filling material during endodontic retreatment using two removal techniques]. Rev Asoc Odontol Argent 2016; 104(2):66-71. [ Google Scholar]
- Gupta R, Tomer AK, Bhatheja A. Quantitative analysis of apical extrusion of debris by different retreatment file systems. IOSR J Dent Med Sci 2019; 18(1):72-5. doi: 10.9790/0853-1801057275 [Crossref] [ Google Scholar]
- Hülsmann M, Bluhm V. Efficacy, cleaning ability and safety of different rotary NiTi instruments in root canal retreatment. Int Endod J 2004; 37(7):468-76. doi: 10.1111/j.1365-2591.2004.00823.x [Crossref] [ Google Scholar]
- Hülsmann M, Stotz S. Efficacy, cleaning ability and safety of different devices for gutta-percha removal in root canal retreatment. Int Endod J 1997; 30(4):227-33. doi: 10.1046/j.1365-2591.1997.00036.x [Crossref] [ Google Scholar]
- Hussein SA, Bayoumi AA. Comparison between three different root canal rotary instruments in retreatment: an in vitro study. Egypt Dent J 2018; 64(4):3883-7. [ Google Scholar]
- Imura N, Kato AS, Hata GI, Uemura M, Toda T, Weine F. A comparison of the relative efficacies of four hand and rotary instrumentation techniques during endodontic retreatment. Int Endod J 2000; 33(4):361-6. doi: 10.1046/j.1365-2591.2000.00320.x [Crossref] [ Google Scholar]
- Imura N, Zuolo ML, Ferreira MO, Novo NF. Effectiveness of the Canal Finder and hand instrumentation in removal of gutta-percha root fillings during root canal retreatment. Int Endod J 1996; 29(6):382-6. doi: 10.1111/j.1365-2591.1996.tb01402.x [Crossref] [ Google Scholar]
- Keskin C, Sariyilmaz E, Sariyilmaz O. Effect of solvents on apically extruded debris and irrigant during root canal retreatment using reciprocating instruments. Int Endod J 2017; 50(11):1084-8. doi: 10.1111/iej.12729 [Crossref] [ Google Scholar]
- Keskin C, Sarıyılmaz E. Apically extruded debris and irrigants during root canal filling material removal using Reciproc Blue, WaveOne Gold, R-Endo and ProTaper Next systems. J Dent Res Dent Clin Dent Prospects 2018; 12(4):272-6. doi: 10.15171/joddd.2018.042 [Crossref] [ Google Scholar]
- Ladley RW, Campbell AD, Hicks ML, Li SH. Effectiveness of halothane used with ultrasonic or hand instrumentation to remove gutta-percha from the root canal. J Endod 1991; 17(5):221-4. doi: 10.1016/s0099-2399(06)81925-4 [Crossref] [ Google Scholar]
- Li JH, Wu TT, He H, Han JL. [Evaluation of the efficacy of two kinds of NiTi retreatment instruments for removing filling material during root canal retreatment]. Shanghai Kou Qiang Yi Xue 2017;26(3):268-71. [Chinese].
- Lu Y, Wang R, Zhang L, Li HL, Zheng QH, Zhou XD. Apically extruded debris and irrigant with two Ni-Ti systems and hand files when removing root fillings: a laboratory study. Int Endod J 2013; 46(12):1125-30. doi: 10.1111/iej.12104 [Crossref] [ Google Scholar]
- Maiti N, Kumar U, Mukherjee S. Evaluation of four different retreatment files in root canal retreatment using digital imaging software & stereomicroscope. Guident 2014; 7(10):84-91. [ Google Scholar]
- Mollo A, Botti G, Prinicipi Goldoni N, Randellini E, Paragliola R, Chazine M. Efficacy of two Ni-Ti systems and hand files for removing gutta-percha from root canals. Int Endod J 2012; 45(1):1-6. doi: 10.1111/j.1365-2591.2011.01932.x [Crossref] [ Google Scholar]
- Yeniçeri Özata M, Falakaloğlu S, Akın Tartuk G. Effect of different heat treated Ni-Ti instruments on remaining root canal filling and apical debris extrusion in retreatment procedures: an in vitro study. Turk Klin J Dent Sci 2022; 28(1):97-104. doi: 10.5336/dentalsci.2021-82792 [Crossref] [ Google Scholar]
- Pirovano AM, Grassi M, Colombo M, Cerutti A, Gagliani M. Strumenti rotanti in lega nichel-titanio per il ritrattamento: un’analisi pre-clinica. G Ital Endod 2011; 25(3):145-51. doi: 10.1016/j.gien.2011.09.006 [Crossref] [ Google Scholar]
- Rehman K, Khan FR, Aman N. Comparison of orange oil and chloroform as gutta-percha solvents in endodontic retreatment. J Contemp Dent Pract 2013; 14(3):478-82. doi: 10.5005/jp-journals-10024-1348 [Crossref] [ Google Scholar]
- Saad AY, Al-Hadlaq SM, Al-Katheeri NH. Efficacy of two rotary NiTi instruments in the removal of gutta-percha during root canal retreatment. J Endod 2007; 33(1):38-41. doi: 10.1016/j.joen.2006.08.012 [Crossref] [ Google Scholar]
- Saba A, Seyam RS, Saba DA. Quantitative assessment of apically extruded debris and retreatability of two sealers using two rotary retreatment systems. Egypt Dent J 2017; 63(3):2737-45. doi: 10.21608/edj.2017.76238 [Crossref] [ Google Scholar]
- Schirrmeister JF, Wrbas KT, Schneider FH, Altenburger MJ, Hellwig E. Effectiveness of a hand file and three nickel-titanium rotary instruments for removing gutta-percha in curved root canals during retreatment. Oral Surg Oral Med Oral Pathol Oral Radiol Endod 2006; 101(4):542-7. doi: 10.1016/j.tripleo.2005.03.003 [Crossref] [ Google Scholar]
- Shivanand S, Patil CR, Thangala V, Kumar PR, Sachdeva J, Krishna A. To evaluate and compare the efficacy, cleaning ability of hand and two rotary systems in root canal retreatment. J Contemp Dent Pract 2013; 14(3):440-4. doi: 10.5005/jp-journals-10024-1341 [Crossref] [ Google Scholar]
- Sihivahanan D, Kumar Reddy TV, Reddy K, Rajaraman G, Senthilnathan N, Ganta R. An in vitro quantitative evaluation of debris extruded apically during endodontic retreatment. J Res Adv Dent 2015; 4(2):1-7. [ Google Scholar]
- Silva EJ, Brito ME, Ferreira VD, Belladonna FG, Neves AA, Senna PM. Cytotoxic effect of the debris apically extruded during three different retreatment procedures. J Oral Sci 2016; 58(2):211-7. doi: 10.2334/josnusd.15-0658 [Crossref] [ Google Scholar]
- Silva EJ, Orlowsky NB, Herrera DR, Machado R, Krebs RL, de Souza Coutinho-Filho T. Effectiveness of rotatory and reciprocating movements in root canal filling material removal. Braz Oral Res 2015; 29:1-6. doi: 10.1590/1807-3107bor-2015.vol29.0008 [Crossref] [ Google Scholar]
- Solda C, Padoim K, Rigo L, Silva Sousa YT, Hartmann MS. Assessment of apical extrusion using rotary and reciprocating systems during root canal retreatment. J Contemp Dent Pract 2020; 21(3):238-41. [ Google Scholar]
- Somma F, Cammarota G, Plotino G, Grande NM, Pameijer CH. The effectiveness of manual and mechanical instrumentation for the retreatment of three different root canal filling materials. J Endod 2008; 34(4):466-9. doi: 10.1016/j.joen.2008.02.008 [Crossref] [ Google Scholar]
- Uezu MK, Britto ML, Nabeshima CK, Pallotta RC. Comparison of debris extruded apically and working time used by ProTaper Universal rotary and ProTaper retreatment system during gutta-percha removal. J Appl Oral Sci 2010; 18(6):542-5. doi: 10.1590/s1678-77572010000600002 [Crossref] [ Google Scholar]
- Unal GC, Kaya BU, Taç AG, Keçeci AD. A comparison of the efficacy of conventional and new retreatment instruments to remove gutta-percha in curved root canals: an ex vivo study. Int Endod J 2009; 42(4):344-50. doi: 10.1111/j.1365-2591.2008.01518.x [Crossref] [ Google Scholar]
- Vukoje K, Stojšin I, Kantardžić I, Janković O. Apical extrusion of root canal filling material during the removal of gutta-percha and resilon. Stomatol Glas Srb 2020; 67(2):91-9. doi: 10.2298/sgs2002091v [Crossref] [ Google Scholar]
- Xu D, Liu S, Huang Y, Chen H, Pan S, Fahim S. Comparative evaluation of the efficiency of different files in removing gutta-percha from curved root canals during root canal retreatment. New Armen Med J 2020; 14(1):24-31. [ Google Scholar]
- Yılmaz K, Tüfenkçi P. The effect of rotation speed of XP-endo Shaper on apically extruded debris during endodontic procedures: an in vitro study. Odovtos Int J Dent Sci 2022; 24(2):81-9. doi: 10.15517/ijds.2021.47147 [Crossref] [ Google Scholar]
- Yadav P, Bharath MJ, Sahadev CK, Makonahalli Ramachandra PK, Rao Y, Ali A. An in vitro CT comparison of gutta-percha removal with two rotary systems and hedstrom files. Iran Endod J 2013; 8(2):59-64. [ Google Scholar]
- Aktemur Türker S, Kasıkçı S. The effect of XP-endo Finisher and XP-endo Finisher R supplementary files on apical debris extrusion during retreatment. Turk Endod J 2021; 6(1):14-8. doi: 10.14744/tej.2021.95967 [Crossref] [ Google Scholar]
- AlOmari T, Mustafa R, Al-Fodeh R, El-Farraj H, Khaled W, Jamleh A. Debris extrusion using Reciproc Blue and XP-endo Shaper systems in root canal retreatment. Int J Dent 2021; 2021:6697587. doi: 10.1155/2021/6697587 [Crossref] [ Google Scholar]
- Sariçam E, Altunkaynak B, Kayaoğlu G. ProTaper retreatment system versus balanced force technique for apical extrusion and gutta-percha removal. Int Dent Res 2019; 9(2):63-68. doi: 10.5577/intdentres.2019.vol9.no2.5 [Crossref] [ Google Scholar]
- Arora C, Bahri R, Mittal N. Comparative evaluation of debris extruded apically by using, ProTaper retreatment file, K3 file and H-file with solvent in endodontic retreatment. Saudi Endod J 2012; 2(3):136-41. doi: 10.4103/1658-5984.112706 [Crossref] [ Google Scholar]
- Arslan H, Topçuoğlu HS, Keskin A, Karataş E, Ayranci LB, Çakici F. Effects of various retreatment instrumentation systems in removing root canal fillings from the root canals. Turk Klin J Dental Sci 2014; 20(1):1-6. [ Google Scholar]
- Balseca MJ, Ayala SB, da Costa Aznar FD, de Freitas-Aznar AR, Balseca GM, Freitas KM. Comparison of apically extruded debris during root canal retreatment with rotary and reciprocating systems. Open Dent J 2019; 13(1):488-492. doi: 10.2174/1874210601913010488 [Crossref] [ Google Scholar]
- Cakici F, Cakici EB, Küçükekenci FF. Evaluation of apically extruded debris during root canal retreatment with two different rotary systems followed by a self-adjusting file. Int J Artif Organs 2016; 39(2):68-71. doi: 10.5301/ijao.5000467 [Crossref] [ Google Scholar]
- Gkampesi S, Mylona Z, Zarra T, Lambrianidis T. Assessment of apical extrusion of debris during endodontic retreatment with 3 rotary nickel-titanium retreatment systems and hand files. Balkan J Dent Med 2016; 20(1):22-8. doi: 10.1515/bjdm-2016-0003 [Crossref] [ Google Scholar]
- Hassan E, Sharaan M, Ragab M. Cleaning efficacy and debris extrusion using XP-endo Finisher and XP-endo Finisher R as supplementary files during retreatment: an in vitro study. Eur Endod J 2022; 7(1):40-6. doi: 10.14744/eej.2021.44366 [Crossref] [ Google Scholar]
- Huang X, Ling J, Wei X, Gu L. Quantitative evaluation of debris extruded apically by using ProTaper Universal Tulsa rotary system in endodontic retreatment. J Endod 2007; 33(9):1102-5. doi: 10.1016/j.joen.2007.05.019 [Crossref] [ Google Scholar]
- Jena A, Shashirekha G, Barai S, Mahaprasad A. Comparison of apically extruded debris after retreatment procedure with ProTaper and Endostar retreatment file systems. J Clin Diagn Res 2018; 12(7):ZC31-34. doi: 10.7860/jcdr/2018/34090.11778 [Crossref] [ Google Scholar]
- Karova E, Zongova-Adem S. Apical extrusion potential of two nickel-titanium retreatment systems. Sch J Dent Sci 2022; 9(5):88-92. doi: 10.36347/sjds.2022.v09i05.002 [Crossref] [ Google Scholar]
- Liu M, Xiong S, Tan F, Liu Y. Less extrusion debris during the retreatment of curved canals using twisted files with higher rotational speeds: an ex vivo study. BMC Oral Health 2017; 17(1):45. doi: 10.1186/s12903-017-0340-2 [Crossref] [ Google Scholar]
- de Morais Vitoriano M, Aguiar BA, Mesquita IL, Maniglia-Ferreira C, de Almeida Gomes F, dos Santos RA. Evaluation of apically extruded debris during endodontic retreatment. RSBO 2013; 10(1):56-62. [ Google Scholar]
- Aldajani MA, Mathew ST. A quantitative assessment of apically extruded debris associated with different retreatment systems with and without solvent in vitro study. J Clin Cases Rep 2020; 3(S3):20-30. doi: 10.46619/joccr.2020.3.S3-1005 [Crossref] [ Google Scholar]
- Mircheska M, Stojanovska V, Redzep E, Popovska L. Evaluation of apical extrusion during conventional retreatment with three endodontic systems. Balkan J Dent Med 2020; 24(3):142-7. doi: 10.2478/bjdm-2020-0023 [Crossref] [ Google Scholar]
- Pawar AM, Pawar M, Metzger Z, Thakur B. Apical extrusion of debris by supplementary files used for retreatment: an ex vivo comparative study. J Conserv Dent 2016; 19(2):125-9. doi: 10.4103/0972-0707.178686 [Crossref] [ Google Scholar]
- Pirani C, Iacono F, Zamparini F, Generali L, Prati C. Retreatment of experimental carrier-based obturators with the remover NiTi instrument: evaluation of apical extrusion and effects of new kinematics. Int J Dent 2021; 2021:2755680. doi: 10.1155/2021/2755680 [Crossref] [ Google Scholar]
- Topçuoğlu HS, Ulusan Ö, Topçuoğlu G, Biricik E. Apically extruded debris during the removal of canal filling material from root canals using three techniques. J Investig Clin Dent 2018; 9(3):e12337. doi: 10.1111/jicd.12337 [Crossref] [ Google Scholar]
- Vikram M. Comparison of apically extruded debris during retreatment procedure by two types of endodontic instruments. Int J Recent Surg Med Sci 2017; 3(1):7-9. doi: 10.5005/jp-journals-10053-0029 [Crossref] [ Google Scholar]
- Pešić D, Melih I, Kolak V, Nikitović A, Jakovljević A. Evaluation of apically extruded debris during removal of gutta-percha and Resilon(TM) using different instrumentation techniques. Vojnosanit Pregl 2018; 75(1):56-61. doi: 10.2298/vsp160226321p [Crossref] [ Google Scholar]
- Vande Visse JE, Brilliant JD. Effect of irrigation on the production of extruded material at the root apex during instrumentation. J Endod 1975; 1(7):243-6. doi: 10.1016/s0099-2399(75)80227-5 [Crossref] [ Google Scholar]
- Kim H, Kim E, Lee SJ, Shin SJ. Comparisons of the retreatment efficacy of calcium silicate and epoxy resin-based sealers and residual sealer in dentinal tubules. J Endod 2015; 41(12):2025-30. doi: 10.1016/j.joen.2015.08.030 [Crossref] [ Google Scholar]
- Ersev H, Yilmaz B, Dinçol ME, Dağlaroğlu R. The efficacy of ProTaper Universal rotary retreatment instrumentation to remove single gutta-percha cones cemented with several endodontic sealers. Int Endod J 2012; 45(8):756-62. doi: 10.1111/j.1365-2591.2012.02032.x [Crossref] [ Google Scholar]
- Lea CS, Apicella MJ, Mines P, Yancich PP, Parker MH. Comparison of the obturation density of cold lateral compaction versus warm vertical compaction using the continuous wave of condensation technique. J Endod 2005; 31(1):37-9. doi: 10.1097/01.don.0000129037.75547.80 [Crossref] [ Google Scholar]
- Keleş A, Alcin H, Kamalak A, Versiani MA. Micro-CT evaluation of root filling quality in oval-shaped canals. Int Endod J 2014; 47(12):1177-84. doi: 10.1111/iej.12269 [Crossref] [ Google Scholar]
- Bürklein S, Benten S, Schäfer E. Quantitative evaluation of apically extruded debris with different single-file systems: Reciproc, F360 and OneShape versus Mtwo. Int Endod J 2014; 47(5):405-9. doi: 10.1111/iej.12161 [Crossref] [ Google Scholar]
- Ahmad MZ, Sadaf D, MacBain MM, Merdad KA. Effect of mode of rotation on apical extrusion of debris with four different single-file endodontic instrumentation systems: systematic review and meta-analysis. Aust Endod J 2022; 48(1):202-18. doi: 10.1111/aej.12612 [Crossref] [ Google Scholar]
- Gu LS, Ling JQ, Wei X, Huang XY. Efficacy of ProTaper Universal rotary retreatment system for gutta-percha removal from root canals. Int Endod J 2008; 41(4):288-95. doi: 10.1111/j.1365-2591.2007.01350.x [Crossref] [ Google Scholar]
- Wilcox LR, Krell KV, Madison S, Rittman B. Endodontic retreatment: evaluation of gutta-percha and sealer removal and canal reinstrumentation. J Endod 1987; 13(9):453-7. doi: 10.1016/s0099-2399(87)80064-x [Crossref] [ Google Scholar]
- Vajrabhaya LO, Suwannawong SK, Kamolroongwarakul R, Pewklieng L. Cytotoxicity evaluation of gutta-percha solvents: chloroform and GP-solvent (limonene). Oral Surg Oral Med Oral Pathol Oral Radiol Endod 2004; 98(6):756-9. doi: 10.1016/j.tripleo.2004.05.002 [Crossref] [ Google Scholar]
- Rödig T, Hausdörfer T, Konietschke F, Dullin C, Hahn W, Hülsmann M. Efficacy of D-RaCe and ProTaper Universal retreatment NiTi instruments and hand files in removing gutta-percha from curved root canals - a micro-computed tomography study. Int Endod J 2012; 45(6):580-9. doi: 10.1111/j.1365-2591.2012.02014.x [Crossref] [ Google Scholar]
- Myers GL, Montgomery S. A comparison of weights of debris extruded apically by conventional filing and Canal Master techniques. J Endod 1991; 17(6):275-9. doi: 10.1016/s0099-2399(06)81866-2 [Crossref] [ Google Scholar]
- Faber J, Fonseca LM. How sample size influences research outcomes. Dental Press J Orthod 2014; 19(4):27-9. doi: 10.1590/2176-9451.19.4.027-029.ebo [Crossref] [ Google Scholar]
- Aksel H, Askerbeyli S, Canbazoglu C, Serper A. Effect of needle insertion depth and apical diameter on irrigant extrusion in simulated immature permanent teeth. Braz Oral Res 2014; 28:1-6. doi: 10.1590/1807-3107bor-2014.vol28.0053 [Crossref] [ Google Scholar]
- Kang M, Ragan BG, Park JH. Issues in outcomes research: an overview of randomization techniques for clinical trials. J Athl Train 2008; 43(2):215-21. doi: 10.4085/1062-6050-43.2.215 [Crossref] [ Google Scholar]
- Griffiths JC, Rosenfeld MA. Operator variation in experimental research. J Geol 1954; 62(1):74-91. doi: 10.1086/626134 [Crossref] [ Google Scholar]
- Karanicolas PJ, Farrokhyar F, Bhandari M. Practical tips for surgical research: blinding: who, what, when, why, how?. Can J Surg 2010; 53(5):blinding. [ Google Scholar]